This is a continuation of the ‘Wildfire Prediction Tool’ blog. Here, different machine learning models are trained on data collected in Portugal and Algeria in order to better predict forest fires in the US.
A write up detailing how machine learning models can be used to predict wildfires in the US.
In this blog post, I will implement and experiment with two machine learning techniques for image compression and image segmentation.
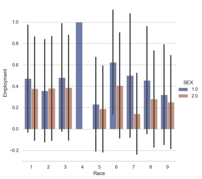
This blog post fits a classifier using data from folktables and performs a bias audit for the algorithm.
A blog post that uses different machine learning models to determine the smallest number of measurements necessary to determine the species of a penguin.
Implementation of different machine learning models to determine the smallest number of measurements necessary to determine the species of a penguin.
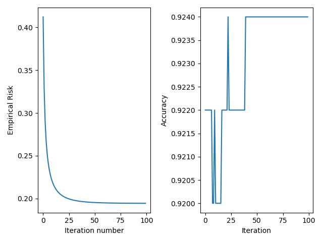
Implementation of algorithms based on the gradients of functions.
A blog post on the perceptron algorithm. This algorithm aims to find a rule for separating distinct groups in some data.